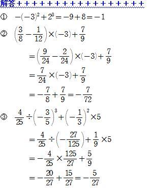
数学入門 第 2 回 問題 1 の解説













数学入門 第 2 回 問題 2 の解説














数学入門 第 2 回 問題 3 の解説









数学入門 第 2 回 問題 4 の解説