数学入門 第 3 回 問題 3 の解説
平成28年度 後期では 3 の (1) (2) (3) 問題です







数学入門 第 3 回 問題 4 の解説
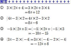
平成28年度 後期では 3 の (4) (5) (6) の問題です






数学入門 第 3 回 問題 5 の解説

平成28年度 後期では 4 の問題です








数学入門 第 3 回 問題 6 の解説









数学入門 第 3 回 問題 7 の解説
平成28年度 後期では 6 の問題です






数学入門 第 3 回 問題 8 の解説

平成28年度 後期では 7 の問題です