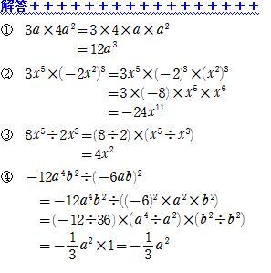
数学入門 第 3 回 問題 9 の解説

平成28年度 後期では 8 の問題です

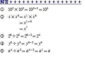
数学入門 第 3 回 問題 10 の解説
平成28年度 後期では 9 の問題です









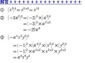
数学入門 第 3 回 問題 11 の解説
平成28年度 後期では 10 の問題です







数学入門 第 3 回 問題 12 の解説

平成28年度 後期では 11 の問題です