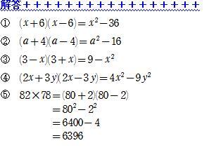
「数学入門」 第4回 問題 1 の解説








「数学入門」 第4回 問題 2 の解説








「数学入門」 第4回 問題 3 の解説








「数学入門」 第4回 問題 4 の解説








「数学入門」 第4回 問題 5 の解説