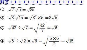
「数学入門」 第6回 問題 1 の解説









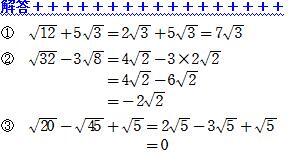
「数学入門」 第6回 問題 2 の解説








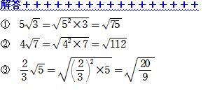
「数学入門」 第6回 問題 3 の解説







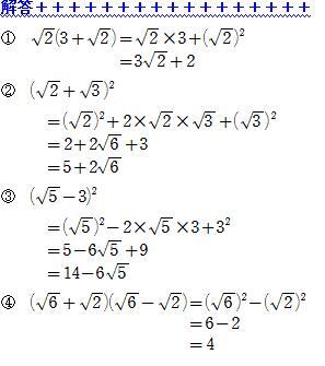
「数学入門」 第6回 問題 4 の解説






「数学入門」 第6回 問題 5 の解説







「数学入門」 第6回 問題 6 の解説








「数学入門」 第6回 問題 7 の解説