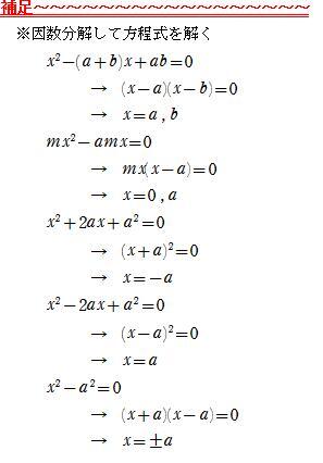
「数学入門」 第6回 問題 8 の解説








「数学入門」 第6回 問題 9 の解説







「数学入門」 第6回 問題 10 の解説







「数学入門」 第6回 問題 11 の解説







「数学入門」 第6回 問題 12 の解説